L’un des enjeux majeurs est de contribuer, par les apports des sciences et techniques, au renouvellement de l’expression musicale. Réciproquement, les problèmes spécifiques posés par la création contemporaine donnent lieu à des avancées scientifiques originales, tant théoriques, méthodologiques, qu’appliquées, dont la portée dépasse largement le seul domaine musical.
Cette dynamique de recherche originale, tournée vers la création artistique dans toute l’exigence et la sensibilité qui s’y manifestent pour des modes de représentation et de manipulation élaborés du sonore et du musical, suscite des innovations scientifiques et technologiques dont les applications se déploient dans des secteurs d’activité de plus en plus larges : professionnels de la musique et du son, industrie, enseignement, public mélomane…Cette médiation entre recherche et création musicales comporte en particulier le développement d’outils logiciels et technologiques pour les musicien‧ne‧s (compositeur·rices, interprètes, musicologues), à partir de modèles et prototypes élaborés par des équipes de recherche travaillant dans les différents domaines en rapport avec la musique : informatique (langages, interfaces homme-machine, temps réel, bases de données), traitement du signal et automatique, acoustique, perception et psychologie cognitive de l’audition, musicologie…
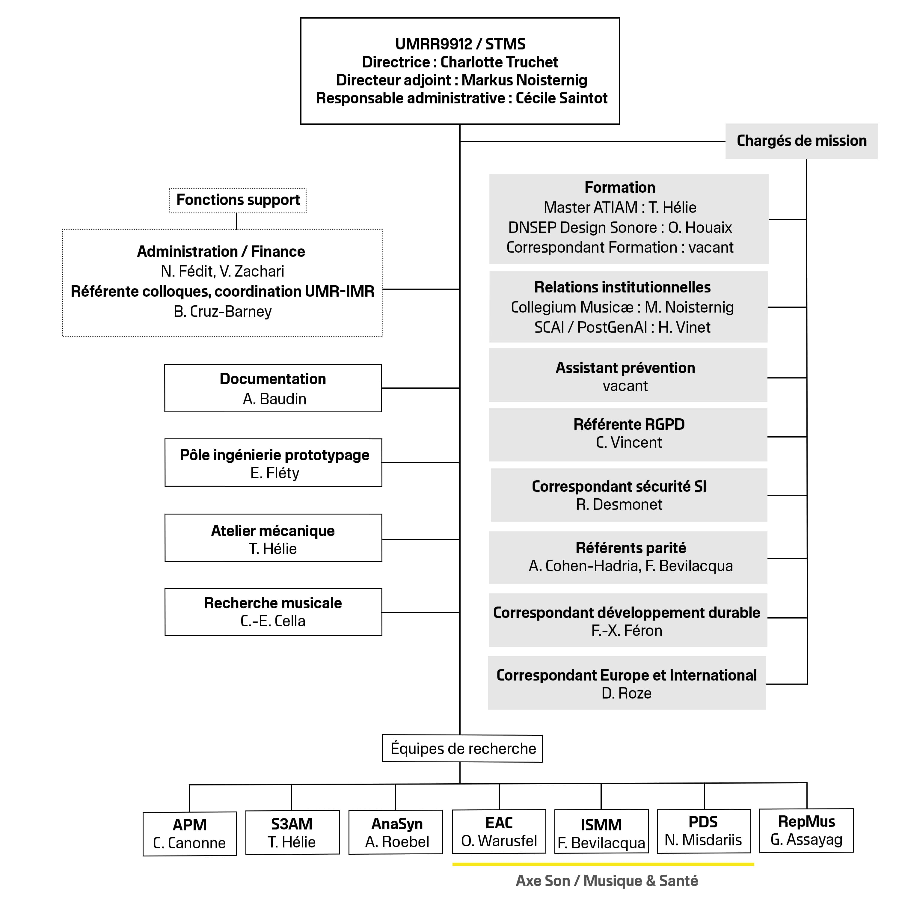
Les travaux reposent ainsi sur l’articulation de deux types d’activités complémentaires, la recherche et le développement, réalisées dans le cadre de l’unité mixte de recherche Sciences et technologies de la musique et du son (UMR 9912 – STMS ) soutenue par le CNRS, Sorbonne Université et le ministère de la Culture.
L’UMR est structurée en 7 équipes, qui se caractérisent par leurs ancrages théoriques et les objets étudiés, couvrant tout le spectre des sciences et technologies de la musique et du son. Un groupe de travail transverse réunit les travaux concernant l’articulation Son-Musique-Santé. Enfin, le laboratoire intègre un axe spécifique sur la recherche musicale, qui inclut les collaborations directes entre scientifiques et musiciens.